Του Νικόλαου Μπούσιου*
Η σύνθεση της γεωργικής παραγωγής σε φυτική, ζωική και στους επιμέρους κλάδους αυτών, δηλαδή το τι και πόσο θα παραχθεί, εξαρτάται από τους διαθέσιμους συντελεστές παραγωγής (έδαφος, εργασία, κεφάλαιο), από τους προσδιοριστικούς παράγοντες της προσφοράς και της ζήτησης αγροτικών προϊόντων και από την υφιστάμενη αγροτική πολιτική. Επιδρά δε σημαντικά στη διαμόρφωση του γεωργικού εισοδήματος και του εμπορικού ισοζυγίου αγροτικών προϊόντων.
Σύμφωνα με τα στατιστικά στοιχεία της Eurostat για την περίοδο 2014-2016 η Ακαθάριστη Αξία Γεωργικής Παραγωγής στην Ευρωπαϊκή Ένωση ανέρχεται κατά μέσο όρο ετησίως στα 379 δις. € εκ των οποίων τα 213 αφορούν τη φυτική παραγωγή (το 56 %) και τα 166 δις. € τη ζωική παραγωγή ( το 44 %). Στην Ευρωπαϊκή Ένωση υπάρχει σχετική ισορροπία μεταξύ φυτικής και ζωικής παραγωγής.
Η Ελλάδα κατά εξεταζόμενη περίοδο έχει κατά μέσο όρο ετησίως 9,6 δις. € Ακαθάριστη Αξία Παραγωγής με τα 6,9 δις. να αφορούν τη φυτική παραγωγή (το 72 %) και τα 2,7 δις. € τη ζωική παραγωγή (το 28 %).
Οι χώρες με σχετική ισορροπία μεταξύ φυτικής / ζωικής παραγωγής (Πίνακας 1) είναι το Βέλγιο (44 % / 56%), η Γερμανία (51 % / 49%), η Εσθονία (51% /49%), η Κύπρος (42% /58 %), η Λεττονία (59% /41%), το Λουξεμβούργο (47% / 53%), η Μάλτα (43% /57%), η Ολλανδία (56% / 44%), η Αυστρία (46% /54%), η Πολωνία (49% /51%), η Πορτογαλία (58% / 42%), η Σλοβενία (56% /44%) και η Σουηδία (50% / 50%), και το Ηνωμένο Βασίλειο (40% /60%).
Η φυτική παραγωγή υπερτερεί στις εξής χώρες: τη Βουλγαρία (72% / 28%); την Τσεχία (62 % / 38 %); την Ελλάδα (72% / 28%); την Ισπανία (62% / 38%); τη Γαλλία (61% /39%); την Κροατία (61% / 39%); την Ιταλία (65% / 35%); τη Λιθουανία (65% / 35%); την Ουγγαρία (64% / 36%); τη Ρουμανία (72% / 28%) και η Σλοβακία (61% /39%).
Η ζωική παραγωγή υπερτερεί στη Δανία (35% /65%), την Ιρλανδία (25% /75%), και τη Φιλανδία (37% /63%).
Η φυτική παραγωγή στην ΕΕ-28 παρουσιάζει την εξής σύνθεση (Πίνακας 2): Δημητριακά 48,6 δις. € (22,8 %); Βιομηχανικά φυτά 21,2 δις. € (9,9 %); Κτηνοτροφικά φυτά 23,8 δις. € (11,2 %); Λαχανικά & κηπευτικά 52,9 δις. € (24,9 %); Πατάτες 11 δις. € (5,1 %); Φρούτα 25,6 δις. € (12 %); Κρασί 22,1 δις. € (10,4 %); Ελαιόλαδο 5 δις. € (2,3 %) και άλλα φυτικά προϊόντα 2,8 δις. € (1,3%).
Η Γαλλία και οι Γερμανία είναι οι μεγαλύτεροι παραγωγοί στην ΕΕ-28 Δημητριακών (με ποσοστά 20,7% και 14 % αντίστοιχα), Βιομηχανικών φυτών (με ποσοστά 18,8% και 24,4 % αντίστοιχα), Κτηνοτροφικών φυτών ( με ποσοστά 23,5% και 22,1 %) και πατάτας (με ποσοστά 18,6% και 16,4% αντίστοιχα).
Η Ισπανία, η Ιταλία και η Γαλλία είναι οι μεγαλύτεροι παραγωγοί στην ΕΕ-28 στα Λαχανικά & Κηπευτικά (με ποσοστά 15,7 %, 11% και 16,3% αντίστοιχα), στα Φρούτα (με ποσοστά 32,7%, 11,8% και 18,4%) και στο κρασί (με ποσοστά 5%, 46,9% και 33,3% αντίστοιχα).
Η Ισπανία, η Ιταλία και η Ελλάδα είναι οι μεγαλύτεροι παραγωγοί στην ΕΕ-28 στο ελαιόλαδο με ποσοστά 49,9%, 30,8% και 17,4% ενώ η Ολλανδία και η Ιταλία στα άλλα φυτικά προϊόντα με ποσοστά 22,8 % και με 15,7%.
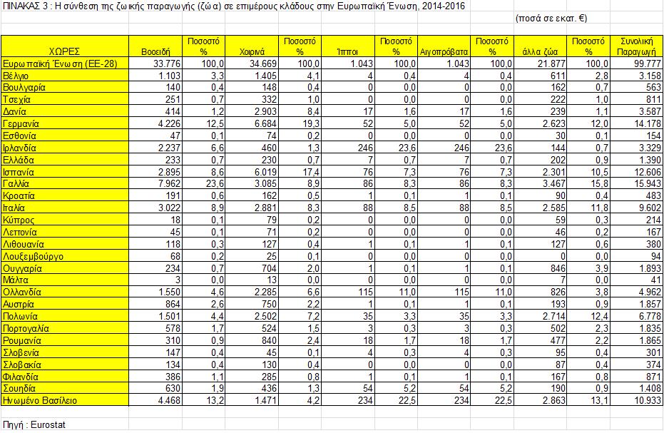
Η αξία των ζώων (περιλαμβάνει τα σφάγια, τις εισαγωγές / εξαγωγές ζώντων ζώων και τα κοπάδια) ανέρχεται ετησίως σε 99,8 δις. € και παρουσιάζει την εξής σύνθεση (Πίνακας 3): βοοειδή 33,8 δις. € (33,8 %); Χοιρινά 34,7 δις. € (34,7 %); Ίπποι 1 δις. € (1,0 %); Αιγοπρόβατα 1 δις. € (1,0 %); Άλλα ζώα 21,9 δις. € (21,9 %). Η Γαλλία το Ηνωμένο Βασίλειο και η Γερμανία παράγουν το 23,6%, το 13,2% και το 12,5% της αξία των βοοειδών. Η Γερμανία και η Ισπανία παράγουν το 19,3 % και το 17,4 % της αξίας των χοιρινών. Η Ιρλανδία και το Ηνωμένο Βασίλειο παράγουν το 23,6 % και το 22,5% της αξίας των αιγοπροβάτων στην Ευρωπαϊκή Ένωση.
Η αξία των ζωικών προϊόντων ανέρχεται ετησίως στα 66,2 δις. € (Πίνακας 4) εκ των οποίων το γάλα 54,2 δις € (81,8 %), τα αυγά 9 δις. € (13,7 %) και άλλα ζωικά προϊόντα 3 δις. € (4,5 %). Η Γερμανία και η Γαλλία παράγουν την μεγαλύτερη ποσότητα γάλακτος (σε ποσοστά 18,2% και 16,6% αντίστοιχα). Η Ιταλία παράγει το 13,3% της συνολικής παραγωγής αυγών στην ΕΕ-28. Η Πολωνία παράγει το 12,0% ενώ η Γερμανία, η Ισπανία, η Γαλλία και το Ηνωμένο Βασίλειο γύρω στο 10% της συνολικής παραγωγής αυγών.
Αναφορικά με τη χώρα μας, η Ελλάδα όπως και οι άλλες Μεσογειακές χώρες, υπερέχει στη φυτική παραγωγή η οποία είναι 2,5 περίπου φορές μεγαλύτερη σε αξία από τη ζωική, έχει σημαντικά μερίδια παραγωγής στα φρούτα (7,5%) και το ελαιόλαδο (17,4%) αλλά πολύ μικρή συμμετοχή στη ζωική παραγωγή στην ΕΕ-28.
*Νικόλαος Μπούσιος
Προϊστάμενος του τομέα Αγροτικής Ανάπτυξης & Τροφίμων και Περιβάλλοντος
Γενική Γραμματεία Συντονισμού του Κυβερνητικού Έργου
Γεωπόνος με ειδικότητα Γεωργικής Οικονομίας, ΓΠΑ
Msc στα Οικονομικά της Ολοκληρωμένης Αγροτικής Ανάπτυξης, M.A.I.Ch.
Msc στις Ευρωπαϊκές Σπουδές, ΟΠΑ



